title: 20251208 微观经济学重难点
date: 2025-12-08 02:52:18
tags:
来源
蛛网理论
-
概念:(非均衡时的波动情况)
-
假定条件:
-
分类:收敛性、发散性、封闭型
假定条件:
本期的价格决定本期的需求
本期的价格决定下一期的供给
本期的需求和供给相等


P 价格
Q需求
斜率越陡斜→ 供应对价格变化不敏感(缺乏弹性)
越平 → 供应对价格变化敏感(弹性大)
收敛型


发散型


封闭型

弹性理论
- 弹性:(理解:自变量变动1%因变量变动n%)

关于弹性剩下的我看这个
需求弹性Ed
-
含义:课本47页:(理解:衡量需求量(Y/Q)变动对影响需求的诸因素(X)变动的反应程度大小)
-
影响因素:本身价格、收入、相关商品价格
-
弹性的斜率:
斜率大(曲线陡/纵向拉得高):变动量对价格变化不敏感 → 非弹性需求(Ed<1)。
斜率小(曲线平缓/横向拉得长 ):变动量对价格变化敏感 → 弹性需求(Ed>1)。
-

-

同一条需求曲线上的 需求弹性通常是不一样的

对于必需品(0<ed<1),看Ed定义式:当商家要改变决策使得多赚,则价格需要涨价
对于奢侈品(ed>1),看Ed定义式:当商家想要改变决策多赚,则价格需要降价
原理:

右边为定值
左边 为总收益随着价格变化的瞬时变化率(即价格增加一个单位,到底总收益是增加还是下降)
交叉价格弹性CED/Exy

正值 → 替代品关系
负值 → 互补品关系
越大(正或负) → 商品关联越紧密
收入弹性YED/EY

收入弹性告诉我们商品需求对 消费者收入变化的敏感程度:
- 正值 → 正常品(收入↑需求↑)
- 负值 → 劣质品(收入↑需求↓)
- 数值大小 → 弹性大小(反映购买力对需求的影响程度)
供给弹性
效用论以及消费者均衡
- 微观:消费者、生产者、市场
- 这个效用论就是从消费者的视角出发
效用
- 效用就是满足程度
- 边际效用是多增消费效用的增量
- 边际效应递减
消费者均衡
无差异曲线

特点
1
2
3
斜率: 边际替代率(MRS)
特殊情况
边际替代率


边际替代率递减

预算线

均衡
- 均衡就是效用最大化(在收入允许的范围内得到最大的满足)


下面的红线,表示还有钱
上面表示效用是高的,但是是超出了预算范围
数学证明:(采用拉格朗日方程)
价格消费曲线



深蓝色那个是价格消费曲线
价格改变的时候,数量(需求)有何改变
收入消费曲线


深蓝色就是收入消费曲线
替代效应与收入效应
- 希克斯分解
概念
画图
总结
- 理解前提




相关解释

替代效应和收入效应同时发生,在不同的角度对于价格下降导致的需求量上升做出解释
替代效应

保持红色的无差异曲线不变(替代效应,因为是在替代,所以无差异曲线不变)
且与红线相切
与蓝色平行的线
x0->x1:
绿色是新的预算线
便宜代替贵的,表示预算线发生移动,体现在截距上就是用相对便宜的x去代替Y,就意味着x的实际购买量将会增多,y的实际购买量减少
(绿色曲线就是这样体现的)
收入效应
- 收入效应:

名义收入:账面上的钱
实际收入:实际能买到东西的量
- 图像理解

横纵轴的截距实际上就是实际购买力
实际购买力增加,实际上就是横纵轴的截距都要增加
这种变动描述的其实也就是将绿色的线 平移到蓝色的线的过程
总结

考试的时候只需要画成品图,而并非把画图过程和原理讲解


劣等品 吉芬商品

没有替代品,所有没有替代效应

图像

劣等品

吉芬商品(收入效应要大于替代效应,看图像上红色箭头部分)
表格


替代效应+收入效应=总效应

显示偏好
-
定义+公理即可
-
定义

A也可以买B也可以买的情况下,消费者选择买A
A是被显示偏好于B的
- 显示偏好的图像表达

橙色是收入线
两个公理
显示偏好弱公理

如果A被直接偏好于B,则B不可能被直接偏好于A
(消费者是专一的)
- 图像

图1:在预算约束1下,消费者更喜欢A,如果需要符合偏好弱公理,就意味这只有一种情况能让消费者选择B,那就是在预算不够的情况下
(更换预算,且AB都能买的情况下,选A,才符合公理)
图1是符合弱公理的
图2:
为什么不符合弱公理(试卷上不能写“专一”这种词)
从预算1来看,AB都能买,但是在预算2下,能够买A的情况下,消费者选择买B,不符合弱公理(A在预算2和坐标轴包围的区域之内)

不能两个组合同时在被包围的区域上
显示偏好强公理
- 间接显示偏好(偏好有传递性)

- 定义

消费者的跨时期选择
- 跨期消费
- 跨期的预算约束

(自由组合的话,就是会有四种情况 我自己想的)
跨期预算线方程(宏观第20章)


- 图像

黑色的点是收支相抵的点,c1=m1,c2=m2,这个点叫禀赋
-
分析
借款者:向别人借钱的,穷的
贷款者:贷款给别人,有钱的

消费者如何对利率变动做出反应
贷款者

利率上升,意味着黑色的线变成红色的线,更加陡峭
利率没上升之前,c1必然在m1左侧
利率上升之后,如果c1仍在m1左边,则说明贷款者仍然是贷款者
c1不可能在m1右边(用显示偏好解释)

当利率下降的时候,我们不知道下图紫色的部分的点会不会成为消费者的偏好,并且A买不起了
借款者

黑色变成红色(利率上升),两条线都经过禀赋
我们无法判断借款者会不会选择紫色的线(变成贷款者)

也是用显示偏好弱公理解释为什么不选择紫色的部分
所以之前是借款者,之后也还是借款者
结论

生产函数
- KL 这两个要素对于产量Q的影响
短期生产函数

K0是常数,L是劳动人数

基本讨论量
平均产量,边际产量与总产量的关系

AP:Q/L=纵坐标/横坐标(该点与O点连线的斜率)
MP:对AP求导,该曲线上点的斜率
图像从无到有

生产函数中,TP的曲线画法像是个对号
成本函数就是对称画法(和生产函数互为丝带)
作者分别介绍了TP、AP、MP的曲线

1.最优生产阶段(第二阶段)
2.当AP=MP时,增长的速率最快
长期生产函数

两种生产要素同时变换

等产量线
斜率:边际基数替代率(MRTS)
前提是产量不变,两种要素投入之间的边际替代比例
等成本线

对于生产者的约束
生产者均衡

也可以用拉格朗日方程表示
效用函数和生产函数对比

规模报酬


边缘报酬递减规律:(其实是边际产量递减规律(短期生产函数中)
规模报酬递减规律:所有的生产要素同时变动(长期生产函数中)
成本函数
- 反应成本与产出的关系的函数
- TC 成本函数是生产函数Q的函数
生产函数和成本函数的对比
-
相关因素都是K,L
-
图像

先记生产函数(对号型曲线)
两者互为反函数
推导
Q P表示的都是产量
机会成本 显性成本 隐形成本 经济利润
短期成本函数
- 短期生产函数类比理解

- 记七个函数
先记住三个基本类型,再记住前缀是边际 、平均
TFC固定成本是常数,边际固定成本是0(不存在),边际成本MC=边际可变成本函数MVC(在固定成本不变的典型假设下)
函数图像


这几种数据的图像意义
总图上的点与原点的斜率
平均可变成本先达到最低点(因为不经过原点)

每个点由总函数的点的斜率组合而来
SMC(边际成本函数)
AVC(平均成本函数)
边际和平均的关系
上面的例子在这里同样适用
长期成本函数
- 和长期生产函数一起来理解

没有固定成本
-
只需要三个函数
缩写 全称 中文含义 LTC Long-run Total Cost 长期总成本 LMC Long-run Marginal Cost 长期边际成本 LAC Long-run Average Cost 长期平均成本 
LAC:是点与原点连线的斜率
LMC:每点切线的斜率

LMC=LAC的时候是LAC最低点
当LMC大于LAC的时候,LMC会拉着LAC往上走
长期和短期总成本对比

长期是短期的包络线
对于绿色直线
同一个生产规模下,成本TC越低,对于厂商来说更好
STC1的生产规模选择对于厂商最好
q3的时候
此时STC1 和STC2的生产规模相同
和纵轴的交点是固定成本
最优生产规模
、
厂商实际上的最优生产规模实际上有无限多个
就是图中黄色的线
如果无限细分下去的话,最优生产规模的线将无限趋近于长期生产规模的线(即短期成本曲线 SRAC无限细分、无限多样化,那么它们的包络线将严格逼近长期平均成本 LAC。)
长期平均成本 和短期平

长边际短边际

以B点为LAC的分界点
当LMC大于LAC的时候,LMC带着LAC往上
LMC-LAC等于的时候,是LMC最低点
LMC必定和SMC有一点相交
LMC和SMC表示的都是原点和该点的连线斜率
因为LAC必定有一点和SAC相交,长期成本 = 所有短期成本曲线的“最优组合”
当两者相交的时候,意味着,此时这两种(LAC SAC)总成本点于原点的斜率是相同的,也就意味着此时LMC于SMC相交,也就是这个图中Q1对应的A点
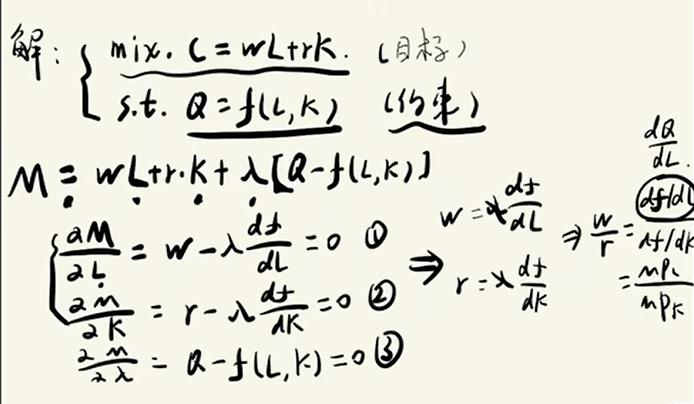
成本最小化问题、计算题

构建拉格朗日函数
1.找到目标函数和约束条件(求什么函数就是目标函数题目中就是成本函数,约束是既定产出)
2.构建拉格朗日函数
本质:
把约束条件嵌入到目标函数中,构建一个可求导的无约束函数。
目的:
- 把“约束”融合进一个函数里
- 使我们可以用偏导 + 一阶条件求最优解



对L,K,λ求偏导
当绿色的等式成立的时候,就是实现成本最小化的时候
四个市场

需要比较的因素
厂商的数量
产品差别的程度
对价格控制的程度
进去一个行业的难易程度
市场信息
广告
代表行业
完全竞争市场
-
定义:

厂商没有价格的决定权
-
条件

要素都能流动
需求曲线

什么是需求曲线
价格和需求的相关曲线
为什么完全竞争厂商需求曲线水平,而完全竞争市场需求曲线向右下方倾斜?
厂商多,厂商没有定价权,个别商家提高 无益
市场中包含多个行业,不同行业之间是不能被其他杭亚完全替代,不同行业较于其他行业而言是有价格决定权的…
收益曲线
- 收益曲线不是利润曲线,而是销售额曲线,是你卖出去多少货物的曲线

AR平均收益
MR边际收益
其实是四线合一
利润最大化的均衡条件

第一行:利润=收益-成本
第二行:对利润求导
利润最大化的时候,边际收益等于边际成本
完全竞争的均衡
-
均衡既有市场的均衡、也有厂商的均衡

-
完全竞争中,厂商的均衡比较重要
完全竞争厂商的均衡
-
判断依据:根据价格来判断什么以上要素
短期均衡
什么时候亏损,什么时候盈利
利润π=(价格-市场生产所耗费的平均成本)*商品量
什么时候停产,停产决策(要考虑固定资产),当亏损过大的时候停产
利润 =总销售额-成本(可变成本和固定成本)
Q=0的时候,利润=-固定资本
图像
从P1出发,与SMC相交,也就是价格(边际收益)和短期边际成本相等的点E1,在此条件下,E1是大于此Q下的SAC,因此是盈利的,同时E1大于AVC,说明不需要停产
状态 盈利情况 是否需要停产 说明 E1 盈利 不需要 企业正常生产即可 E2 不盈不亏 不需要 企业仍可继续生产 E3 亏损 不需要 亏损但继续生产比停产更优 E4 亏损 停产/不停产效果一样 企业无差别选择 E5 亏损 必须停产 停产比继续生产更优
完全竞争厂商的短期供给曲线
- P和供给量的关系
- 只有不停产才能够供给
- 单个


- 真正图像

红色是供给曲线
长期均衡
-
讨论前提:厂商可以随意进入退出(人数改变),KL都改变
-


当处于不盈不亏的时候P=LAC
LAC的最低点和SAC相切
SMC必过SAC这个点
LMC呢?
只能在E的时候才能不盈不亏
这是长期的原则
完全竞争行业的长期供给曲线
- 为什么不讲厂商,而是讲行业
完全竞争长期供给曲线关注的是行业整体反应,而不是单个厂商,因为价格由市场决定,企业自由进入或退出,单个厂商无法影响长期市场供给。
- 不同行业
- 成本固定不变行业
D是需求曲线,SS是供给曲线
LS就是长期供给曲线
- 成本递增行业
(过程是D1需求曲线 移动到D2),D1和SS1的交点是最开始的均衡点 ,到底在这个过程中,D2到M点的位置停下来,有一个新的价格P3,此时说明这个行业很赚钱,即将有大批来赚钱的人的人涌入,供给曲线增加向右移动。(此时也描述的是Lac1-LAC2,Smc1->smc2的过程),这时候,只有当市场再次获得正常利润的时候,整个市场才会平衡,即是左图P2点的时候。此时看右图P2点和D2的交点就是新的平衡点。AB两个新旧平衡点相互连接起,就是长期供给曲线
- 成本递减行业(左图向右下方倾向)
框架
在视频结尾,第二遍看的时候你可以自己总结
完全垄断市场
- 当我们提到垄断这个条件的时候,说的是完全垄断,而不是垄断竞争,提到垄断市场的时候,其实我们是在说完全垄断市场
框架

垄断市场的条件

唯一,没有替代品,进入困难,价格可以被操纵
垄断市场的需求曲线


完全垄断厂商不可以随意定价,定价太高,利润会为0。
垄断厂商的收益曲线
- 总收益 平均收益,边际收益


MR边际收益是对TR求导
P=a-bQ是由完全垄断市场自己拥有议价权的性质决定的
边际收益曲线的斜率是需求曲线的两倍
相似三角形,所以是中点,
中点表示的是ed=1的时候
在同一条线上的点的斜率都一样
对于F点
后面又说相似三角形,不知道在说什么
对中点的需求弹性求
紫色/绿色
左图的绿色的线对应的点就是右图的状态变化
ed<1,缺乏弹性,价格的变动大于需求量的变动
ed>1,富有弹性,
垄断厂商的短期均衡
- 盈利、亏损、不盈不亏
盈利
1.先由绿色的边际收益曲线找到均衡点对应的Q1需求量(MR=MC)
2.要根据消费者需求曲线d(AR)来找P1消费者在该需求量下能接受的最高价格F
3.判断盈利和亏本(比较P和SAC之间的关系)
当产量为Q的时候,平均成本为H点
当产量为Q 的时候,F点所代表的状态就是在最高价格下的总收益
P1》H的时候,则为盈利,此时所盈利金额为阴影部分
亏损

不盈不亏

垄断厂商的供给曲线
- 完全垄断厂商为什么不存在供给曲线
当价格和供给量之间存在一一对应的关系,才能说明供给曲线存在
但是在垄断厂商的供给曲线不存在P和Q 一一对应的关系
1.MR1=MC找紫色的线 找Q1
2.MR2=MC找黄色的线
垄断厂商的长期均衡
- 垄断厂商可以获得超额利润
因为进入壁垒存在(专利、规模经济、资源控制、法律保护等),其他企业无法进入与其竞争。
- 垄断利润最大化:(MR=LMC=SMC)
价格歧视
- (看人下菜)

一级价格歧视

完全理想化
二级价格歧视

三级价格歧视
- 没有像一级一样细分到每一个人,但是也是看人下菜碟

紫色对应第一种人群
垄断厂商的定价法则

垄断者通过 MR = MC 决定产量,通过需求曲线决定价格,而最后的定价公式是
其中:
P= 垄断厂商定的价格
MC = 边际成本
Ed = 需求价格弹性(负数)
公式含义:价格比成本高出的比例,由需求弹性决定。
需求 越缺乏弹性(∣Ed∣|E_d|∣Ed∣ 小)
→ 垄断者可以 加价更多需求 越具有弹性(∣Ed∣|E_d|∣Ed∣ 大)
→ 垄断者 加价有限垄断者的最优价格 = 在边际成本基础上加成,而加成率等于价格弹性的倒数。需求越不弹,垄断越能赚钱。
这个公式如何解释垄断厂商能够获得超额利润?
垄断厂商的定价法则强制性地导致价格高于边际成本,因此垄断必定获得超额利润。
垄断竞争市场
框架

含义和特征
- 没有供给曲线
断竞争没有供给曲线,因为价格不是外生给定的,而是由需求曲线决定的。
- 含义

- 特征

需求曲线
- 有两条需求曲线

产品和销售量的关系
D:实际、客观需求曲线
d : 主观需求曲线
- 图像

P0对应的点是均衡点
此时商家想要P0->p1(商家想要降价),并且这个商家主观认为其他厂家会对自己的降价无动于衷,形成在d上的q0->q1的移动,最后的理想产量为Q3
但是事实上是Q0->Q1(实际需求曲线)
此时商家想要P0->p2(商家想要升价),并且这个商家主观认为其他消费者会对自己的升价失望,形成在d上的q0->q2的移动,最后的理想产量为Q2
但是事实上是Q0->Q4(实际需求曲线,其实大家可能都涨价)
垄断竞争厂商的均衡
短期

平衡找MR=MC->确定Q5均衡产量
确定P->Q5的产量与需求曲线的交点确定P5
紫色亏本
绿色是均衡
蓝色是盈利
长期均衡
- 获得正常利润还是超额利润
正常利润
垄断竞争市场长期均衡:厂商获得正常利润(零经济利润),价格等于平均成本,但仍存在一定的市场权力(P > MC)。只要厂商能够自由进出,就一定是获得正常利润
- 图像

平衡找MR=MC->确定Q0均衡产量
确定P->Q0的产量与需求曲线的交点确定P0
N点表示此时不盈不亏
三个市场对比


需求曲线:
1.没有价格决定权,四线合一。完全竞争长期均衡时,价格 (P)、边际成本 (MC)、短期平均成本 (SAC) 和长期平均成本 (LAC) 四线交于一点,企业获得正常利润且利润最大化。
2.有价格决定权,1/2。
3.需求曲线有两条
短期均衡
1.五种情况的讨论:盈利和亏损的分界点的组合讨论:
当价格 PPP 高于短期平均成本 SAC 时(P > SAC),企业盈利,正常生产即可(E1);当价格等于 SAC时(P = SAC),企业不盈不亏,仍可继续生产(E2);当价格低于 SAC 但高于平均可变成本 AVC时(SAC > P > AVC),企业虽然亏损,但继续生产比停产亏得少(E3);当价格等于 AVC 时(P = AVC),停产或继续生产效果相同(E4);当价格低于 AVC 时(P < AVC),企业应停产以减少损失(E5)。
(完全竞争是四线合一的,完全不用找P)
2.先确定均衡产量Q,再通过找当前产量想消费者能够消费下的P来讨论,再根据SAC来判断盈利
长期均衡
分析前提:是否能获得正常利润
供给曲线
寡头市场(考点单一、考频较少)
- 考点、框架:解释模型,出计算题
- 含义以及特征

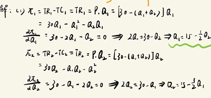
古诺模型
- 假设条件

两家 相同产品 生产成本为0
假设两个企业同时生产
-
市场结构
价格就是产量的函数




TR-π (C可能是一个为0的数就不用写)
古诺计算题
q1,q2之间的生产数量是相互影响的
两种均衡相互影响
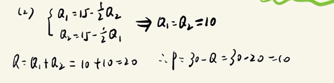
真题

第一题:想办法写出
第二题:
这里只求出了均衡价格
弯曲的需求曲线
- 模型假设
1.如果某厂商 提高价格:
- 竞争对手不会跟涨
- 该厂商的销售量会大幅下降 → 需求对价格上升弹性大
2.如果某厂商 降低价格:
- 竞争对手会跟降
- 价格下降不会带来太多额外销售量(会增加一点点) → 需求对价格下降弹性小
- 图像

B是均衡点
边际收益曲线是另外的红和绿
有一段蓝的边际收益曲线
不管边际成本如何变动
它的价格不变
只要MC在蓝色这一段有交点,则是价格刚性
(有待理解)
要素市场
框架
-
要用一种求积分的逆着的感觉来学
-
要学基本概念
-
生产要素的需求和特点
-
生产要素的公式
-
生产要素的分类(将要素市场和产品市场相互结合)

- 需求与供给
研究需求和供给 ,对象有厂商和市场
- 均衡
研究均衡 ,对象有厂商和市场
- 工资地租利息利润的决定(自己看书)

基本概念

产品市场是“卖产品买钱”的市场,
要素市场是“卖资源买钱”的市场;
前者面向消费品交换,后者面向==生产要素配置。==
- 生产要素需求的特点
1.引致需求 2.联合需求
特点 引致需求(Derived Demand) 联合需求(Joint Demand / Complementary Demand) 定义 生产要素的需求来源不是自身用途,而是衍生自最终产品的需求 两种或多种生产要素同时投入生产,需求相互关联,一种要素的需求会影响另一种要素的需求 核心理解 要素需求是“被需求所引发的”,取决于产品市场 要素需求之间互为补充,依赖其他要素的投入量 例子1 汽车市场需求增加 → 汽车生产需要更多钢铁、机器和劳动力 → 钢铁、机器、劳动力的需求增加 生产汽车需要发动机和轮胎,如果汽车产量增加,两者的需求都会增加 例子2 — 机器和操作工:增加机器数量需要更多操作工配合使用 引致需求强调的是生产要素需求来源于产品需求;
联合需求强调的是生产要素需求之间的互补关系。
公式
| 概念 | 市场类型 | 举例 | 计算 / 说明 |
|---|---|---|---|
| MP(边际物质产品) | 所有市场 | 工厂雇佣工人:- 第1个工人 → 产量增加50件- 第2个工人 → 产量增加45件- 第3个工人 → 产量增加38件 | $$MP = \frac{\Delta Q}{\Delta L}$$,反映每增加一单位要素的产量增加 |
| MR(边际收益) | 完全竞争市场:MR = P(价格不变) | 卖苹果:价格固定 P = 5 元,销量从 100 → 101:TR:500 → 505 → MR = 5 | 完全竞争是价格接受者 → MR = P = 5 |
| MR(边际收益) | 不完全竞争市场:MR < P(多卖必须降价) | 电影票:100 张 ×10 元→ TR=1000;101 张×9.8 元→ TR=989.8 → MR = −10.2 | 多卖一张需要降价 → 前面 100 张都变便宜 → MR < P |
| MRP(边际收益产品) | 完全竞争市场(价格固定) | 果汁厂每瓶 P=5 元,第1个工人增加10瓶 → MRP = 10 × 5 = 50 | MRP = MP × MR;完全竞争 MR = P → MRP = VMP |
| MRP(边际收益产品) | 非完全竞争市场(垄断或寡头) | 电影院售票:MP = 10,边际收益 MR = 8 → MRP = 80 | MR < P → MRP < VMP |
| VMP(边际产品价值) | 完全竞争市场 | 手机工厂:MP = 10,价格 P=1000 → VMP = 10,000 | VMP = MP × P |
| MFC(边际要素成本) | 完全竞争要素市场 | 工资 W=100 元,增加 1 工人 → 总成本 +100 → MFC = 100 | 工资固定 → MFC = ΔTC/ΔL = W |
| MFC(边际要素成本) | 非完全竞争要素市场 | 为雇佣第5个工人,工资从 100 涨到 120 → 总成本 +140 → MFC = 140 | 买方垄断:增加 1 单位要素使整体工资上升 → MFC > 工资 |
理解VMP和MRP的区别
- VMP = 10 × 10 = 100 元 → “理想情况下,如果价格不变,增加1个售票员带来的收入”
- MRP = 10 × 8 = 80 元 → “实际情况下,增加1个售票员带来的真实收益”
- 企业决策用的是 MRP,因为它反映的是实际增加的收入,而不是理想价值。
公式的基本概念
| 概念 | 含义 |
|---|---|
| MR(边际收益) | 增加一单位产量所带来的收益的增加。(产量-收益)完全竞争:MR = P;不完全竞争:MR < P(因为为多卖必须降价)。 |
| MP(边际物质产品) | 增加一单位生产要素(如劳动、资本等)所带来的额外产量,关注物理量(要素-产量)。 |
| MRP(边际收益产品) | 增加一单位生产要素所带来的额外收益(考虑产品价格或边际收益,将 MP 转成钱来计算,要素-收益),关注收入贡献。 |
| VMP(边际产品价值) | 增加一单位生产要素所带来的额外产量按市场价格计算的价值(适用于完全竞争市场,将 MP 按市场价转换成钱),关注价值贡献。 |
| MFC(边际要素成本) | 增加一单位生产要素所带来的额外成本,关注成本变化。 |
产量是要素到收益的量化桥梁
公式推导
MRP=ΔTR/ΔL=(ΔTR/ΔQ )*(ΔQ /ΔL)=MR×MP
MFC=ΔTC/ΔL=(ΔTC/ΔQ )*(ΔQ /ΔL)=MC×MP
MRP(边际收益产品)
- 边际收益(MR)
- 含义:多卖一单位产品,企业获得的额外收入(边际收益)。
- 边际产量(MP)
- 含义:增加一名工人能增加的产量(边际产量)。
- MRP 推导
- 经济含义:
每名新增工人带来的额外产量 × 每单位产量带来的额外收入
= 每名新增工人带来的额外收入(即 MRP)。
MFC(边际要素成本)经济含义
- 边际成本(MC)
- 含义:生产多一单位产品要增加的成本(边际成本)。
- 边际产量(MP)
- 含义:增加一名工人带来的产量增加(边际产量)。
- MFC 推导
- 经济含义:
每名新增工人带来的额外产量 × 每单位产量的额外成本
= 每名新增工人带来的额外成本(即 MFC)。VMP = MP × P
理想的卖了多少钱
加深理解

产品市场是完全竞争的时候,
在完全竞争市场,价格 P = 平均收益 AR = 边际收益 MR = 企业面临的需求 D,是一条水平线,也就是所谓“四线合一”。
此时P=MR
产品市场是不完全竞争的时候,
蓝色的是需求曲线
MR(边际收益 Marginal Revenue)曲线表示的是 每增加一单位产品所带来的额外收入与产量 Q的关系
此时可以看到,P一直是大于MR的(为了卖出额外一单位产品,企业必须降低价格)
要素市场完全竞争
- 条件

- 两种情况

W表示劳动力
- 图像理解

需求和供给曲线
厂商要素需求曲线

利润最大化的时候是 边际额外收入 =边际额外成本
MRP产品市场出发来求
MFC是从要素市场出发来求
完全竞争的时候
MR*MP=MR *P
MFC=W
要素研究的是P和X的关系
需求曲线此时是MRP
不完全竞争
市场要素曲线

厂商所面临的供给曲线

需求反应P,供给曲线反应的是W
之前对于完全竞争的时候
需求曲线是水平的,是因为完全是产品统治
要素市场,要素是统治者,也就是劳动力要素,劳动力都是一样的
不完全的时候,不同的劳动力有不同的议价权,愈多劳动力议价权越高
市场的供给曲线

完全:要素市场中,在固定行业中的一个厂商,有无数个替代者,所以是水平的
市场中,有不同的劳动力是不可以取代的(???????)
均衡
市场的均衡

四个都要画



w反应的是供给
厂商的均衡

总结
- 厂商的均衡和市场的均衡不一样,因为供给曲线不一样
博弈论
框架/考试差不多考的

囚徒困境

| B 合作(沉默) | B 背叛(坦白) | |
|---|---|---|
| A 合作 | -8, -8 | -0, -10 |
| A 背叛 | -10, 0 | -1, -1 |
纳什均衡判断、划线法
只要哪个框框里有两条线就是纳什均衡
对B的占优战略:坦白
对A的占优战略:坦白
占优秀战略均衡:所有参与者都有占优战略的时候,才说这个例子中才有占优战略均衡。
智猪博弈

| B 按 | B 争食 | |
|---|---|---|
| A按 | 3,1 | 2,4 |
| A 等 | 7,-1 | 0,0 |
划线法
(2,4)就是纳什均衡
小猪有占优战略,小猪没有随大猪变而变
大猪没有,大猪随着小猪变而变
纳什均衡
在博弈论中,纳什均衡是指一种策略组合状态:
如果每个参与者都选择了自己的策略,并且在其他人的策略固定不变的情况下,没有人能够通过单方面改变策略来获得更高收益,那么这个策略组合就是纳什均衡。
占优战略和占优战略均衡
| 概念 | 含义 | 特点 |
|---|---|---|
| 占优战略 | 对某参与者而言,无论对手策略如何,总能获得不低于其他策略的收益 | 个体最优,独立于他人策略 |
| 占优战略均衡 | 所有参与者都选择自己的占优战略形成的策略组合(所有人都有占优战略才行,只要求每个人选择好自己就好) | 一定是纳什均衡,但不一定存在 |
| 纳什均衡 | 在给定其他人策略下,没有人愿意单方面改变策略 | 包含占优战略均衡,也可能存在无占优战略的均衡 |
纯策略均衡和混合策略均衡(考概率小)
- 纯策略均衡:我只出一个战略
- 混合策略均衡:我选择什么战略,我是要看别人的,顺便算算概率,才选
混合策略是在“事前分析的”
纯策略纳什均衡*
混合策略纳什均衡 *
帕累托最优
框架


关键
帕累托最优
-
强调最优
-
含义(不是看课本的):如果在一个经济系统中,某种资源配置状态下,无法在不让至少一个人状况变差的情况下,使其他人的状况变得更好,那么这种状态就是帕累托最优。
“不能改进某人而不损害他人” → 帕累托最优。
它关注 社会总体效率,而不是个体策略稳定性。
帕累托改进
- 含义(不是看课本的):在一个资源配置或策略组合中,如果通过某种调整 能使至少一个人的状况变得更好,而 没有任何其他人的状况变差,那么这种调整就是帕累托改进。
与帕累托最优的关系**
- 帕累托改进是过程:不断通过改进使得至少一人收益增加且无人受损。
- 帕累托最优是结果:当无法再进行任何帕累托改进时,达到帕累托最优状态。
逻辑关系:帕累托改进 → 系统状态改变 → 最终可能达到帕累托最优
帕累托最优的条件
交互的帕累托最优
-
交互主体:消费者
-
消费者所追求的是效用最大化
-
交换帕累托最优点不止有一个
-
图像理解
红点是A,蓝点是B,括号是其对应的初始资源
A想要X,B想要Y,他两交换,直到达到下图的红色的点他两的效用最大化(两者满足程度一致)
A的无差异曲线浅绿色
B的无差异曲线是红色
深蓝色的线是所有帕累托最优点的集合,不同的初始点会得到一个对应的怕累托最优点,深蓝色的线是交换契约线,这时候两者的边际替代率相等
生产帕累托最优
-
主体是生产者,进行的行为是交换生产要素
-
图像理解(类比上面理解)

初始条件是在红色的点
当达到了等产量线的时候,达到帕累托最优,两条等产量线相切的时候,边际技术替代率相等

紫色生产契约线,此时曲线上的每一个点表示的状态表示生产要素在两者的要素分配最优
生产可能性曲线
- 对于紫色线上的每一个最优配置,所得到的最优产出的所有(X,Y)组合的集合,并且两种资源作为横纵坐标画图

MRTS是一个桥梁
MRTS 生产者对于要素的交换
MRS 消费者之间的交换
MRT (从MRTS转换而来)
福利经济学第一定律
- 理解:完美竞争市场是完美的,最好的,对于消费者和厂商都是最好的。
福利经济学第二定律
- 理解:完美竞争市场是好的,虽然不是一开始是完美的,但是最后肯定完美的。市场不仅能达到效率,还能通过初始财富调整实现 公平与效率兼顾。






































































































